노드의 개수 n, 간선에 대한 정보가 담긴 2차원 배열 vertex가 매개변수로 주어질 때, 1번 노드로부터 가장 멀리 떨어진 노드가 몇 개인지를 return 하도록 solution 함수를 작성!
더 자세한 설명 - programmers.co.kr/learn/courses/30/lessons/49189
코딩테스트 연습 - 가장 먼 노드
6 [[3, 6], [4, 3], [3, 2], [1, 3], [1, 2], [2, 4], [5, 2]] 3
programmers.co.kr
풀이
1. 먼저, 노드들의 연결 관계를 나타내주는 dictionary를 만든다.
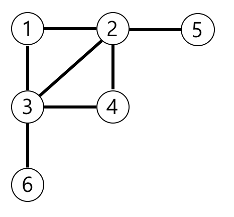
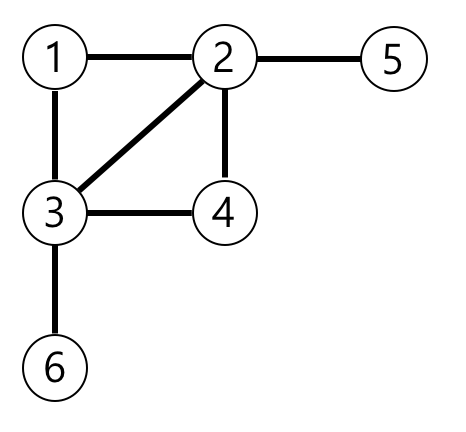
문제가 다음과 같은 구성일 때,

conn이라는 dictionary는 다음과 같은 형태를 띌 것.
conn = {1: [2, 3],
2: [1, 3, 4, 5],
3: [1, 2, 4, 6],
4: [2, 3],
5: [2],
6: [3]
}
1번 노드는 2, 3번 노드와 연결, 2번 노드는 1, 3, 4, 5번 노드와 연결, ...되기 때문이다.
2. 각 노드에 다다르기 위한 거리를 저장하는 list, steps를 초기화한다.
steps = [0] * (n + 1)
3. 너비 우선 탐색(BFS)를 시도한다.
- 현재 노드와 연결된 노드들을 먼저 다 살피면서,
- 이 중 (1번 노드)가 있다면 탐색 끝이고,
- 없다면 현재 노드와 연결된 노드들에 연결된 노드들을 살피면 되기 때문이다.
=> BFS (선입선출로직!) 를 위해서 deque를 사용한다.
4. 탐색을 끝낸 후에는 steps에서 최댓값이 중복되어 나타나는 수를 answer로 반환!
코드 구현
from collections import deque
def solution(n, vertex):
# organize a connectivity dictionary
conn = {}
for x, y in vertex:
conn[x] = conn.get(x, []) + [y]
conn[y] = conn.get(y, []) + [x]
# keep record of steps req'd to reach each node
steps = [0] * (n + 1)
# start from the node #1
q = deque([1])
countEdges = 0
while q:
# explore the nodes connected to the current node
n = len(q)
for i in range(n):
curr = q.popleft()
# if the node is not visited yet
if steps[curr] == 0:
steps[curr] = countEdges
# add the nodes connected to this node if they are not visited
# &they are not node no.1
for i in conn[curr]:
if steps[i] == 0 and i != 1:
q.append(i)
countEdges += 1
answer = steps.count(max(steps))
return answer
'프로젝트들 > 코딩 테스트' 카테고리의 다른 글
| [코딩테스트] 프로그래머스 - 줄 서는 방법 (Lv.3) in Python (0) | 2021.03.17 |
|---|---|
| [코딩 테스트] 프로그래머스 - 가장 긴 팰린드롬 (Lv.3) in Python (0) | 2021.03.15 |
| [코딩 테스트] 프로그래머스 - 단속 카메라(Lv.3) in Python (0) | 2021.03.14 |
| [코딩 테스트] 프로그래머스 - 섬 연결하기 (Lv.3) in Python (1) | 2021.03.14 |
| [코딩테스트] 프로그래머스 - 도둑질 (Lv.4) in Python (0) | 2021.03.13 |
댓글